加拿大28-加拿大28预测
量子信息物理研究团队在量子光学领域取得重要进展,研究成果“Destructive interference effects in two distant three-level V-type systems”在物理学国际学术期刊《Physical Review A》(IF=2.6,中科院二区)上发表。该研究由浙江科技大学作为第一单位,物理学硕士研究生吴承杰担任第一作者,应用物理系骆钧炎老师和颜益营老师分别为共同指导教师和通讯作者。

图1:论文发表页面

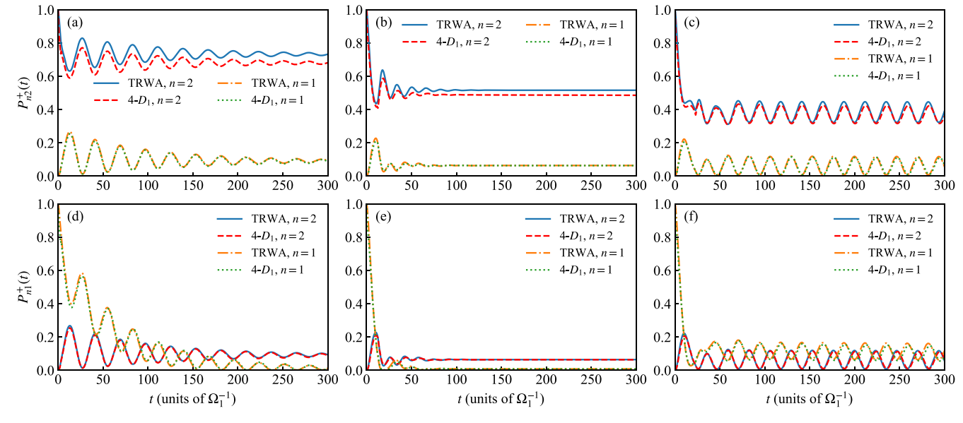
图2:通过TRWA和变分方法计算的概率
本研究聚焦于两个耦合到一维波导的三能级V型系统,在强耦合条件下,探讨了相消干涉效应对系统集体动力学的影响。通过运用极化子变换和解析方法,研究团队揭示了在特定条件下,由于相消干涉而形成的束缚态,这些束缚态可以通过调节两个V型系统之间的距离来实现。研究还采用了含时的变分方法和多重Davydov波函数来数值验证理论计算,并揭示了束缚态的动力学特征。这些发现不仅为理解远程多能级辐射体在强耦合条件下的相消干涉效应提供了新的视角。(应用物理系 孙婷婷 学科办 陈璟)